1. Transformation
=> Transformation Groups
-> Group의 결성조건 : 3D data가 3D를 벗어나지 않고 Group 안에 닫혀있어야 한다.
-> Group의 특성
-> 1. Operator *에 닫혀있음[AㅌG and BㅌG -> A*BㅌG]
-> 2. 독립적인 element I가 존재함[A*I = I*A = A]
-> 3. Inverse가 존재함[A^(-1) * A = A * A^(-1) = I]
-> Example
-> A*(B*C) = (A*B)*C
->

=> Transformations
->

-> Translation[이동] / Euclidean[회전] / affine[찌그러짐] / projective[양방향 찌그러짐] / similarity[크기변형]
-> 1. Scale

-> Scale은 항상 기준이 필요하며, Sx Sy가 다르더라도 Scale에 속함
-> 2. Rotation[DOF = 1 / 3D DOF = 3]

-> 세타 방향으로 Rotation
-> 3. Euclidean[DOF = 3 / 3D DOF = 6]

-> Rotation+Translation
-> 4. Similarity[DOF = 4 / 3D DOF = 7]

-> Translate + Rotate + Scaling
-> 5. Affine[DOF = 6]

-> 6. Projective[DOF = 8]

2. Camera model
=> World(u,v,w) -> Camera(x,y,z) -> Film(x,y) -> Pixel(u,v)


-> World to Camera Transformation[P_c = M_ext x P_w]

Pc = R(Pw-C)
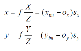
-> Camera to Film(3D-to-2D projection)[p = M_int x P_c]

-> Film to Pixel(Affine Transformation)[u = M_int x P_c = M_aff x M_proj x Pc]

| Forward Rendering VS Deffered Rendering (0) | 2024.11.01 |
|---|---|
| Geometric Objects (0) | 2023.07.27 |
| Graphics System (0) | 2023.07.27 |
| Texture Mapping (0) | 2023.07.27 |
| Ray Tracing (0) | 2023.07.27 |